Evolution is not just about biology. Many systems evolve, and an evolutionary perspective can enlighten many fields. Here are some of the projects I have been involved in taking an interdisciplinary approach to understanding evolution (Page under construction!)
Eureka Prize for Excellence in Interdisciplinary Research 2021
Bringing together an Indigenous community member, linguist, mathematician and biologist, this team is studying Gurindji, an Indigenous language of northern Australia. Their research is developing new ways to understand the processes of language change and factors that help keep Indigenous languages strong and vibrant.
Language evolution: applying tools from evolutionary biology to understanding language change, including:
Change over generations in a single speaker community:
Population size and language change
Global patterns of language diversity:
Island biogeography of languages
Ronnie Wavehill talks to his grandchildren about the early colonial days in northern Australia in his Gurindji language. We thank Mr Wavehill’s family for permission to use his name and image (Photo: Brenda L Croft 2015)
%20copy.jpg)

Philosophy of Biology: PT Residency in Philosophy Dept as part of a Future Fellowship (2010-2015), publications in philosophy journals (e.g. on genetics, evolution and testing hypotheses in macroevolution), invited speaker at meetings on philosophy of evolution, archaeology, cultural evolution, historical sciences
Philosophy of Biology at Dophin Beach diehard.
Cultural evolution: adapting comparative methods from evolutionary biology for more robust hypothesis testing, asking questions such as:
Does parasite load influence voting preferences, sexuality and xenophobia?
What, if anything, can phylogenies tell us about human cultural and cognitive evolution?

Evolution of Cultural Diversity Initiative (ECDI), fostering interdisciplinary collaboration in research and teaching
Art and Science:

Art-Science residency, School of Environment. University of Queensland (2025) with Briony Barr , exploring how simple processes can lead to complex outcomes.
Metamorphosis and Design (2003-4), working with Heather Barnett at the University of Sussex
Interdisciplinary research funding
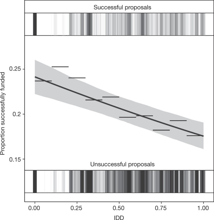
In a classic case of borrowing across discipline boundaries, we adapted a metric from biodiversity studies to quantify interdisciplinarity of grant applications and used that metric to show that interdisciplinary studies have lower grant success. This research, published in Nature in 2015, has resulted in change in funding policies.

Scientist in Residence, Poetry conference (2022): Out of the Ordinary: On Poetry & the World University of Canberra

Tempo and Mode seminars:
This is an occasional seminar series that highlights work at the cross-roads of different evolutionary disciplines. Examples of seminars we have hosted at ANU:
5th August 2019: Adrian Currie, University of Exeter Palaeobiological story-telling and one-shot hypotheses.
31st July 2019: Kieren Mitchell, University of Adelaide: Reconciling genomics and the fossil record in Pleistocene North America.
1st November 2018: Ruth Wallace, Charles Darwin University: Indigenous advantage: can northern Australia lead through innovation.
26th October 2018: Alex Skeels, Research School of Biology, ANU: Reconstructing speciation geography from contemporary biodiversity dat & Ian Brennan, Research School of Biology, ANU: Integrating competition and biogeography into monitor lizard macroevolution
17 October 2018: Theseus’ ship meets the winds of change: understanding collapse and resilience in social-ecological systems. Graeme Cumming, ARC Centre of Excellence for Coral Reef Studies
21 September 2018: Historical linguistics in the Age of Bayes, T. Mark Ellison, Wellsprings of Language Diversity Project ANU.
3 August 2018: Evolutionary dynamics and fitness in wild populations. Loeske Kruuk, Research School of Biology, ANU.
2nd July 2018: Engaging with indigenous knowledge, indigenous communities and research. Linda Tuhiwai Smith, Māori and Indigenous Studies, The University of Waikato
15 June 2018: Six impossible things before breakfast: assumptions models and belief in molecular dating. Lindell Bromham, Research School of Biology, ANU
6 April 2018: Evolution of communication: pragmatics made simple. Richard Moore. Berlin School of Mind and Brain, Humboldt Universität zu Berlin
9 March 2018: Populations: a general framework. John Mathewson, Philosophy, Massey University.
30 August 2017 The cultural Red King effect. Cailin O’Connor. Department of Logic and Philosophy of Science, UC Irvine
20th July 2016 Ecological insights from invasive species. Richard Duncan, Institute for Applied Ecology, University of Canberra
11th May 2016 The evolution of antievolution policies. Nicholas Matzke. Evolution, Ecology and Genetics, ANU
15th December 2015 The genetics of speciation and fitness landscapes. John Welch, Department of Genetics, University of Cambridge
17th November 2015 Molecular evolutionary clocks in the genomic era. Simon Ho, Molecular Ecology, Evolution and Phylogenetics, University of Sydney
29th October 2015. Aboriginal conservation: why it must be applied on a landscape scale in Central Australia. Leanne Liddle, Senior Policy Advisor, Northern Land Council, Darwin

